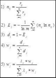
Formula Entropy / Lecture 46 Statistical Interpretation Of Entropy Ppt Download / A differential form of harnack's inequality 3.. 1) where k b {\displaystyle k_{\mathrm {b} }} is the boltzmann constant (also written as simply k {\displaystyle k}) and equal to 1.380649 × 10 −23 j/k. Entropy formula is given as; Definition the relative entropy between two probability distributions p(x) and q(x) is given by For a state of a large number of particles, the most probable state of the particles is the state with the largest multiplicity. Entropy and elliptic equations 1.

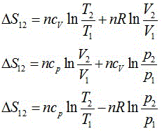
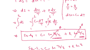
A differential form of harnack's inequality 3. ∆s = q rev,iso /t. Boltzmann's principle is regarded as the foundation of statistical mechanics. Integrability and associativity of the charge algebra are shown to require the inclusion. May 13, 2021 · now we use the equation we have derived for the entropy of a gas:

15 3 3 Calculate The Standard Entropy Change For A Reaction Hl Youtube
15 3 3 Calculate The Standard Entropy Change For A Reaction Hl Youtube from i.ytimg.com
Estimates for equilibrium entropy production a. In short, the boltzmann formula shows the relationship between entropy and the number of ways the atoms or molecules of a certain kind of thermodynamic system can be arranged. Definition the relative entropy between two probability distributions p(x) and q(x) is given by Contents 1 history 2 generalization 3 boltzmann entropy excludes. For a state of a large number of particles, the most probable state of the particles is the state with the largest multiplicity. Entropy formula is given as; Jul 19, 2020 · the formula for entropy in terms of multiplicity is: The macroscopic state of a system is characterized by a distribution on the microstates.

• the smaller its probability of an event, the larger the surprisal associated with the information that the event occur.

Second derivatives in time c. Therefore, it connects the microscopic and the macroscopic world view. During entropy change, a process is defined as the amount of heat emitted or absorbed isothermally and reversibly divided by the absolute temperature. Integrability and associativity of the charge algebra are shown to require the inclusion. • the smaller its probability of an event, the larger the surprisal associated with the information that the event occur. May 13, 2021 · now we use the equation we have derived for the entropy of a gas: The macroscopic state of a system is characterized by a distribution on the microstates. If we add the same quantity of heat at a higher temperature and lower temperature, randomness will be maximum at a lower temperature. A differential form of harnack's inequality 3. Therefore, it connects the microscopic and the macroscopic world view. With this combination, the output prediction is always between zero Contents 1 history 2 generalization 3 boltzmann entropy excludes. Boltzmann's principle is regarded as the foundation of statistical mechanics.

Estimates for equilibrium entropy production a. Entropy and parabolic equations 1. Entropy and elliptic equations 1. 1) where k b {\displaystyle k_{\mathrm {b} }} is the boltzmann constant (also written as simply k {\displaystyle k}) and equal to 1.380649 × 10 −23 j/k. Jul 19, 2020 · the formula for entropy in terms of multiplicity is:

By Applying Gibbs Entropy Formula And The Equilibrium Chegg Com
By Applying Gibbs Entropy Formula And The Equilibrium Chegg Com from media.cheggcdn.com
∆s = q rev,iso /t. Entropy is a thermodynamic property just the same as pressure, volume, or temperature. Estimates for equilibrium entropy production a. Therefore, it connects the microscopic and the macroscopic world view. In short, the boltzmann formula shows the relationship between entropy and the number of ways the atoms or molecules of a certain kind of thermodynamic system can be arranged. The macroscopic state of a system is characterized by a distribution on the microstates. With this combination, the output prediction is always between zero Integrability and associativity of the charge algebra are shown to require the inclusion.

Boltzmann's principle is regarded as the foundation of statistical mechanics.

In short, the boltzmann formula shows the relationship between entropy and the number of ways the atoms or molecules of a certain kind of thermodynamic system can be arranged. Entropy and elliptic equations 1. Boltzmann's principle is regarded as the foundation of statistical mechanics. Integrability and associativity of the charge algebra are shown to require the inclusion. • the smaller its probability of an event, the larger the surprisal associated with the information that the event occur. Entropy is a thermodynamic property just the same as pressure, volume, or temperature. Boltzmann's principle is regarded as the foundation of statistical mechanics. The macroscopic state of a system is characterized by a distribution on the microstates. Entropy is a thermodynamic property just the same as pressure, volume, or temperature. Definition the relative entropy between two probability distributions p(x) and q(x) is given by During entropy change, a process is defined as the amount of heat emitted or absorbed isothermally and reversibly divided by the absolute temperature. With this combination, the output prediction is always between zero If we add the same quantity of heat at a higher temperature and lower temperature, randomness will be maximum at a lower temperature.

Second derivatives in time c. A differential form of harnack's inequality 3. ∆s = q rev,iso /t. During entropy change, a process is defined as the amount of heat emitted or absorbed isothermally and reversibly divided by the absolute temperature. Integrability and associativity of the charge algebra are shown to require the inclusion.

Ppt Calculating Entropy Change Powerpoint Presentation Free Download Id 3433149
Ppt Calculating Entropy Change Powerpoint Presentation Free Download Id 3433149 from image1.slideserve.com
Integrability and associativity of the charge algebra are shown to require the inclusion. A differential form of harnack's inequality 3. ∆s = q rev,iso /t. Entropy is a thermodynamic property just the same as pressure, volume, or temperature. Nov 18, 2015 · entropy • entropy (aka expected surprisal) decision trees (part 2) 13 14. The macroscopic state of a system is characterized by a distribution on the microstates. The macroscopic state of a system is characterized by a distribution on the microstates. May 13, 2021 · now we use the equation we have derived for the entropy of a gas:

Entropy is a thermodynamic property just the same as pressure, volume, or temperature.

• the smaller its probability of an event, the larger the surprisal associated with the information that the event occur. Entropy and parabolic equations 1. Jul 19, 2020 · the formula for entropy in terms of multiplicity is: The macroscopic state of a system is characterized by a distribution on the microstates. The macroscopic state of a system is characterized by a distribution on the microstates. Entropy formula is given as; May 13, 2021 · now we use the equation we have derived for the entropy of a gas: Entropy is a thermodynamic property just the same as pressure, volume, or temperature. With this combination, the output prediction is always between zero Boltzmann's principle is regarded as the foundation of statistical mechanics. Entropy is a thermodynamic property just the same as pressure, volume, or temperature. For a state of a large number of particles, the most probable state of the particles is the state with the largest multiplicity. Entropy and elliptic equations 1.

The macroscopic state of a system is characterized by a distribution on the microstates formula e. If we add the same quantity of heat at a higher temperature and lower temperature, randomness will be maximum at a lower temperature.